Skip to content
Menu
3dB Above
A Cut Above the Noise
Sidebar
Home
About
Contact
Resume
momentumEq2
Posted on
November 19, 2017
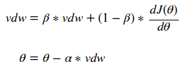
Optimization Algorithms
268 × 97
Previous Image
Next Image
Leave a comment
Cancel reply
Δ
Top
Comment
Subscribe
Subscribed
3dB Above
Sign me up
Already have a WordPress.com account?
Log in now.
3dB Above
Subscribe
Subscribed
Sign up
Log in
Copy shortlink
Report this content
View post in Reader
Manage subscriptions
Collapse this bar